相关系数是表示两个变量(X,Y)之间线性关系密切程度的指标,用r表示,其值在-1至+1间。如两者呈正相关,r呈正值,r=1时为完全正相关;如两者呈负相关则r呈负值,而r=-1时为完全负相关。完全正相关或负相关时,所有图点都在直线回归线上;点子的分布在直线回归线上下越离散,r的绝对值越小。当例数相等时,相关系数的绝对值越接近1,相关越密切;越接近于0,相关越不密切。当r=0时,说明X和Y两个变量之间无直线关系。计算相关系数的公式为:

为了获得公式22.2中各数据,先将表22-1资料进行计算如表22-2。
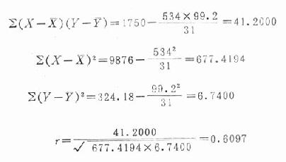
从表22-2的计算获得
ΣX=534 ΣX2=9876 ΣY=99.2ΣY2=324.18 ΣXY=1750
N=31
按这些数据进一步以下演算求r。
