现以例10.2说明其计算步骤如下:
1.各自排列,统一编秩号。将两组数据分别从小到大排列,然后按两组数据自小至大统一给以顺序号,即为秩号。编秩号时,凡数据相等而分属于两组的,应编平均秩号,如0.042共有三个,分属于两组,其秩号应该是7、8、9,求其平均,皆给以平均秩号8。
2.求秩号的中位数MR,公式是:
(10.2)
3.求各组n+、n-、n:以MR为准,大于MR的秩号个数为n+,小于MR的秩号个数为n-,相等者为n。
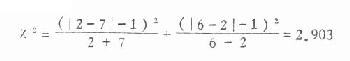
4.代入下式求χ2值
ν=组数-1 (10.3)
5.查χ2值表,作结论。
例10.2 表10.2为9名健康人和8名铅作业工人的尿铅值(mg/L)试比较两组间有无显著差别?
表10.2 9名健康人与8名铅作业工人的尿铅值(mg/L)
| 健康人 | 秩号 | 铅作业工人 | 秩号 |
| 0.001 | 1 | 0.042 | 8 |
| 0.002 | 2 | 0.042 | 8 |
| 0.014 | 3 | 0.048 | 10 |
| 0.020 | 4 | 0.050 | 11 |
| 0.032 | 5 | 0.082 | 14 |
| 0.032 | 6 | 0.086 | 15 |
| 0.042 | 8 | 0.092 | 16 |
| 0.054 | 12 | 0.098 | 17 |
| 0.064 | 13 |
两组各自排队,统一编秩号,其结果见表10.2
以此数为准,数得两组秩号的n+、n-、n如
下:
| n+ | n- | n | |
| 健康人数 | 2 | 7 | |
| 铅作业工人组 | 6 | 2 |
代入公式

ν=2-1=1,χ20.05,1=3.841
今χ2<χ20.05,1故P>0.05 不能拒绝检验假设,相差不显著,还不能说健康人与铅作业工人尿铅值有显著差别。
当多组资料比较时,其步骤与两组比较的一致,但计算χ2值的公式略有不同:
(10.4)
符号检验未充分利用原始资料中的全部信息,故比较粗,但因其简便,可迅速得到结果故也有其使用价值。