5.11.1 结构与性质
维生素B12(VB12)为钴胺素(Cobalamin)类化合物,他的分子中有4个还原性吡咯环联结在一起,这种构叫做咕啉,他与核苷酸(二甲基苯异咪唑)及核糖相联,另一方面与D-1-氨基-2-丙醇相连,钴与核苷酸之N相偶联(图5-31)。化学上称氰钴胺素为维生素B12,除CN后称钴胺至少。CN可为其他基团代替,成为不同类型的钴胺素。一般称对哺乳类有生理作用的为钴胺素,称对哺乳类及微生物都有作用的为维生素B12。本文中维生素B12泛称此类物。
氰钴胺至少自然界很少,为人工合成产品,可从其他类型转换而来。他是红色结晶,其活力为重金属及氧化还原剂所破坏,但在短期高压消毒(12℃)不被破坏,能溶解在1:80水中,溶液为中性,在PH4.5~5时最稳定。
辅酶B12(即5‘-脱氧腺钳钴胺素)(图5-32)及甲基B12(甲基钴胺素)为哺乳类(人类)组织中最主要的辅酶形式。前者在线粒体内,后者在胞浆内,为合成蛋氨酸所必需者。它们对光不稳定,光解后形成水钴胺素。在氰存在下变成氰钴胺素,维生素B12、B12a、B12b、B12c都可治疗维生素B12的缺乏。

图5-31 氰钴胺素分子式(CN可以其他基团代替)

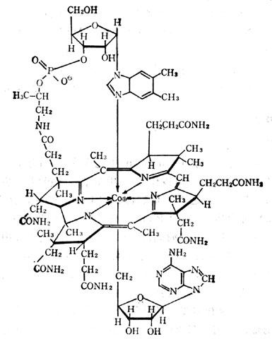
图5-32 辅酶B12分子式
5.11.2 代谢
食物中维生素B12与蛋白质结合,在胃酸与胃蛋白酶作用下释放出来,又与胃中R蛋白结合,在PH2与8情况下,维生素B12与R蛋白亲和力要比与内因子(Intrinsicfactor,IF)的亲和力分别大50与3倍。因此,维生素B12不能从与R蛋白结合转至IF结合。在小肠中维生素B12-R复合物分解,在10min内维生素B12转移与IF结合。在小肠中维生素B12与IF结合。R蛋白不但在胃中有,唾液、胆汁及其他人体液中也有。IF与胃粘膜壁细胞内质网系统相联系,维生素B12-IF对蛋白酶很稳定。有及猪的每gIF可结合30μg维生素b12进入肠细胞内,在细胞表面游离的IF又可与维生素B12结合。但有人认为IF也进入细胞内。
维生素B12从肠细胞排出到门静脉与血浆中结合蛋白结合。人血浆中有三种维生素B12运输蛋ⅠⅡⅢ(即transcobalaminⅠ、Ⅱ、Ⅲ;TCⅠ、TCⅡ、TCⅢ)。TCⅠ即血浆R蛋白,血浆中80~100%的维生素B12与之结合。TCⅡ在肝中合成,1molTCⅡ与1mol维生素B12或其类似物相结合,血浆中只有10~20%的维生素B12与之结合,它的主要作用是将维生素B12从肠运输至其他组织,如肝、肾、能髓、红细胞、胎盘等。在这些靶组织上有他的受点,将TCⅡ-维生素B12包入,在溶酶体内将其分解,但有人认为分解的场所为溶酶体膜或胞浆内。
TCⅠ及TCⅢ的功用可能一方面保护维生素B12不为细菌所用,另一方面可能将维生素B12类似物如类咕啉及钴胺酰胺从水消化道及体内清除出去。在体内清除是将TCⅠ(或TCⅢ)-维生素B12类似物的复合体进入到肝细胞的溶酶体内将其分解,然后维生素B12类似物由肝排出至胆汁中,其再吸收可能性不大,因IF与维生素B12类似物结合能力比较弱。
维生素B12消化吸收与运输,需要多种因至少参加,因此较易发生维生素B12缺乏。①从食物中摄取量不够,尤其长期素食者维生素B12很容易缺乏;②胃酸过少,不能分解食物中蛋白-维生素B12复合体;③胃切除太多,没有足够胃粘膜产生足够的IF;④胰蛋白酶量不足以分解R蛋白-维生素B12复合体,以致IF与维生素B12结合减少;⑤回肠疾病,IF-维生素B12复合体的受体减少,影响吸收;及⑥TCⅡ运输蛋白缺乏,影响体内运输。
5.11.3 生理功能
1)在人及哺乳动物中有二种生化反应需要维生素B12作为辅酶。
(1)甲基丙二酸与琥珀酸的异构作用

这一反应为可逆的,由甲基丙二酸CoA变位酶催化,其辅酶为辅酶B12,使分子内部重新排列。甲基丙二酸-CoA,可从丙酸、异亮氨酸、缬氨酸而来。甲基丙二酸变为琥珀酸CoA后,可进入到代谢途径。维生素B12缺乏者,尿中甲基丙二酸排出量增多。
(2)高半胱氨酸甲基化变成甲硫氨酸(蛋氨酸) 高半胱氨酸在N5-CH3THFA及高半胱氨酸甲基转移酶作用下,接受甲基变成蛋氨酸。在这个酶系统中,甲基B12为辅助因子,还需要δ腺甘蛋氨酸及NADH。甲基从5N-甲基THFA转移至维生素B12,再转移至高半胱氨酸上而奕为甲硫氨酸。
2)维生素B12缺乏症与生化功能的关系 维生素B12缺乏并不是为巨红细胞型贫血及神经系统的疾患。神经系统的症状,起初为隐性的,先由周围神经开始,手指有刺痛感,后发展至脊柱后侧及大脑,记忆力右减退,易激动,嗅味觉不正常,运动也不正常等等。其主要原因为神经脱髓鞘。这个作用与已知的生化功能尚无明确的联系。
维生素B12缺乏的另一症象为巨红细胞型分血。缺乏维生素B12的贫血与缺乏叶酸者是一样的。现在用“甲基THFA陷阱”假说来解释,在高半胱氨酸转变为蛋氨酸的反应中,N5-甲基THFA,将甲基转移出去,变成THFA,这个反应需要维生素B12参加,如果维生素B12缺乏,这个反应不能进行,N5-CH3THFA不能转变为THFA,而且N5-CH3THFA为体内THFA的主要储存形式,所以导致叶酸(THFA)功能性的缺乏,不能形成其他THFA衍生物以携带1-C基团,而影响体的一些代谢,如嘌呤及胸腺嘧啶核苷酸的合成及组氨酸的代谢等。
维生素B12缺乏时的生化上变化也证实了“甲基THFA陷阱”假说,①恶性贫血而消化道无疾患,叶酸摄取量正常的病人,血浆N5-CH3THFA水平高,可用维生素B12来纠正;②维生素B12缺乏病人血清中N5-CH3THFA清除率慢,而其他叶酸衍生物清除速率快,以上两点都说明缺乏维生素B12,N5-CH3THFA转变为THFA的反应不能顺利进行;③维生素B12缺乏病人,给予大剂量组氨酸后,尿中亚胺甲基谷氨酸排出量比正常者要多,这是由于亚胺基THFA的合成受阻而影响组氨酸代谢,所以其中间代谢产物从尿中排出;④尿中5-氨基咪唑-4-甲酰胺,维生素B12缺乏病人增多,他是合成次黄嘌呤核苷酸的中间产物,需要进一步甲酰化才能变成次黄嘌呤,维生素B12缺乏,THFA减少,不能进行甲酰化,所以上述变化与叶酸缺乏是一致的。
5.11.4 来源
植物性食品中维生素B12含量甚少,豆类根瘤菌可合成一些。肉及乳中较多,人结肠中的微生物可以合成维生素B12,但不能吸收,在粪便中排出。素食者可能从微生物污染的食物及水中获得一些。食物中维生素B12主要为辅酶B12或甲基B12,而且与蛋白质相结合,对热稳定,在碱性中不稳定,在维生素C存在于也不稳定。牛乳经巴氏消毒法损失7%,煮2~5min损失30%,119~129℃消毒13min损失77%,但快速消毒(143℃)仅损失10%。
5.11.5 需要量
维生素B12体内储存量为1~10ng,其中50~90%存于肝内。辅酶B12为主要储存形式,甲基B12为运输形式。体内储存的维生素B12,可维持不摄取维生素b12者的健康达3~6年之久。
最低需要量为维持正常机体的正常功能的必须的外源摄入量。维生素B12最低需要量为0.1μg·d-1。
最低需要量(单位·d-1)=(体内可利用的储存量)/停止摄取后到发生缺乏的时间)(日),
美国供应量,成人、儿童、孕妇分别为3、2、4μg(估计食物中维生素B12有50%被吸收),FAO提出供应量成人为2μg,1~3岁0.9μg,4~9岁1.5μg,10岁以上2μg,孕妇3~4μg,乳母2.5μg,婴儿(人工喂养)0.3μg。